郑氏点银:黄金以1842作为节点支撑逢低仍多,油继续多
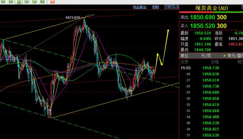
黄金方面:昨日早盘先续跌,而震荡过程中,早间续涨或续跌很容易失败而延续性较差,因此先给出1840一线直接多去测试,当看到欧盘连阳上涨且破高后,就意味着美盘有二次上行动能,回测依托618分割位置,以及顶底转换位置1843逢低继续多,最终刚好试探1856一线目标,逢高减持,再留一部分去博日线的两阴+两阳循环走法,也就是博今日收阳;
今日来看,日线级别昨日收盘处于1850一线,卡在短期均线位置,这和前几天的走势循环是雷同的,那么今日大概率会继续收阳;不管是博两阴+两阳循环走法,还是昨日单阳企稳信号,都会计划今日继续做多;一旦连阳上攻,1870也就很容易再次试探,重点在于欧盘是否连阳发力,决定美盘二次上攻;短线支撑关注1846-42区域,一个是通道回踩点,一个是昨日美盘起涨点,另外1844一线是昨日涨幅回调618分割支撑,都是做多参考点;而短期阻力1850-56区域,欧盘能突破站上1856上方,美盘就大概率容易冲击1870高度;
操作上:持有1840上昨日低位多单,今日1846及下方继续做多即可,目标1856、1862-63、1870;而1876下压制计划高空,极限1886下压制也还是空(周线均线压力);继续以宽幅震荡来运行对待;
白银方面:昨日低点是21.8一线,靠近宽幅震荡下轨21.7逢低支撑,那么今日下轨有所上移21.8,此位置上方去逢低多即可,上轨阻力在23上方,23.3下压制反手计划空,短线就围绕区间内继续宽幅运行;
原油方面:昨日提出117支撑上逢低多为主,可惜给到的点位是后半夜,基本没机会去逢低入场;日线上单阴回踩修正,连阳继续推动,短期逼空强势格局还在,能下跌依然是做多首选,只不过120上方不好直接追涨,一方面是这两天处于117-121高位震荡,另一方面,还是会有所担心短暂逼空结束后急跌下调;但暂时不能去高空,日线形态上均线多头排列,不支持受压,哪怕出现一根大阳继续逼空破高拉升都是可以理解的,因为原油品种容易一根筋发展;相对保守的,则是耐心等下跌一波,依托小时线大阳起涨点以及618分割支撑118-118.4区域逢低去跟多,以昨日低点下方作为防守,看震荡逼空上涨; 此时价格也是高位横盘,适合观望,或者欧盘期间出现小时线连阳明显破高形态,美盘回踩再做二次强势看涨也是可以的;
以上是笔者技术剖析的几个观点,作为参考,也是十年以来,每日12小时以上盯盘、复盘所积累的技术经验总结,每天都会公开技术点,配合文字和视频解读,想学习的朋友,结合实际走势可以去对比参考;认可思路的可以参考操作,带好防守,风控第一;不认可的就当飘过就行;感谢大家的支持和关注;
【文章观点仅供参考,投资有风险,入市需谨慎,理性操作,严格设损,控制仓位,风控第一,盈亏自负】
撰稿人:郑氏点银
每日12小时以上看盘研究,坚持长达十年之久,详细技术解读全网公开,以真心、用心、诚心、恒心、全心服务到底!各大财经网站上撰稿评论!精通K线法则、通道法则、时间法则、均线法则、分割法则、顶底法则;学员合作报名热线——微信:zdf289984986






















































