郑氏点银:黄金日线启明延续反弹上行,原油106.3上维持反弹
回顾上周五行情走势及出现的技术点:
第一,黄金方面:上周五早间并未先反弹试探隔夜跌幅382或50分割压力,而是直接低位横盘压制,午后下破1805-06支撑,那么按照前几天循环的走法,先依托分割压力去布局空也就没机会;欧盘依托前期通道的下轨衍生点1795-94一线去布局低多,目的仍是等待循环美盘前后一波急拉反复震荡的出现,最终触及1785一线前双底企稳后,美盘小时线长下影双针企稳后,最终是迎来底部的V上拉,只是比预期时间晚了些,还好守住了1784防守点未破,确认企稳后,低位1790-1789也布局了加仓干多,拉升20美金力度刚好吻合到位,同时也概率扩大进一步的反弹上涨力度;
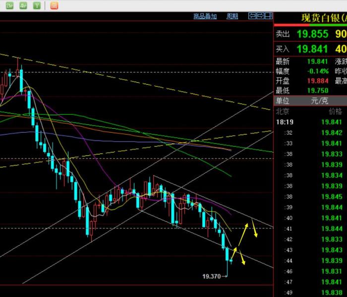
第二,白银方面:由于银本身弱于黄金,因此它的跌幅会更加偏强,失守20.2支撑,最低下探19.37一线;
今日行情分析解读:
第一,黄金周线级别:上周再一次试探触及前期三角整理下轨支撑,刺破后站上仍有效,中期就维持偏多运行;而短期均线5日和10日下移1830-1840,此区域是中期的压力位,只有突破站上它,才能转为震荡偏强运行;
第二,黄金日线级别:在一波震荡下跌的底部出现一根较长下影反阳K线,这具备一定反转条件,需后市几日的运行形态来最终确认;当前,短线就以反弹修正来对待,只有突破站上中轨1833压力后,才能转为有所震荡偏强,而2070-1998衍生下降通道的上轨阻力下移至1850-1860,按照2075压制震荡下跌那波参考,是有概率存在刺破通道上轨,形成诱多局面出现,一旦实现,强压则关注1890和1920两处,也是后市反手波段做空不错的压力位;当前,此时离价格还遥远,一步步来,能否落实,还需先看待短期均线的突破情况,10日下移1820,成为今日的短期压力位,也是通道一定反压点;而支撑很明确就是1785一线双底,若再度失守,则再次走弱冲击1750-1730也就概率加大了;若是今日回补影线后而无动能再拉升,也不利反弹修正;要反弹延续,必须是后面出现再次破高动作;
第三,黄金4小时线级别:底部探底拉升后,10均线突破站上成为顶底支撑,目前上移至1804一线,欧美盘要留意收线情况,一直处于1804上方收盘,则短期震荡偏多反弹;反之,收盘于下方,则存在一波回补下探需求,下一个支撑则在于1794-95大阳起涨点;
第四,黄金小时线级别:隔夜一波持续拉升,凌晨最后支撑于1798一线,收盘于高位1810一线,今日早盘先震荡回踩,则先以作为偏强来对待:一方面,价格回归通道之上,1805就成为一定支撑点;另一个方面,日线大V拉升形成长下影明确企稳信号,力度也不错,存在短期走强概率,就不能等太多回测空间,因为回测幅度大了,就容易再度震荡,或走弱;因此,早盘1805上直接给出继续干多,到位1814短期目标;欧盘冲高回落,回至早间低点,这其实也可以理解,因为短周期macd在高位运行过程中,有所顶背驰出现,想要延续扩大反弹需求,首先得修正它;那么,既要修正,又要保持一定强度,不出现大幅回测给低位空解套,就只能一种办法:以偏高位置区间震荡反复来时间换指标修复后再转多;那么是有一定概率存在早盘低点双底稳定再反弹的大可能,1804逢低仍有支撑效果,若下去,则强支撑关注1798-95区域,那样就是回补了长下影,再看后面能否再破高来决定;
操作上: 黄金关注1798-95支撑上低多,目标1818-1820、1825; 若仍守住1804,则此位置上也可以低多试探;
白银方面:日线短期压制比黄金明显弱,连阴下跌幅度也大,前期20.4直接下破,反而成为一定反压点;今日关注20一线阻力能否重新突破站上,决定能否扩大反弹修正需求;只要黄金能反弹上攻,白银最终也会慢慢爬上去,只是力度偏弱,速度偏慢,短期支撑19.6上;
原油方面:周线级别仍偏强,每次下穿前期上行通道上轨位置,都容易探底拉升;月线级别连阳后首次出阴,短期均线仍多头排列,趋势多不变;短线日线级别或展开宽幅震荡运行,下方101.5、104.5两点支撑,上方111.6、114两点压力组合目前当下的一个上行通道,预计暂时此范围内运行,那么后续几日就有概率指向上轨116-115,建议周初低多为主;
小时线支撑107.2上方(日内小双底),回测逢低继续多,短期阻力110-110.4; 若107.2破位,下方还有一处106.3通道支撑,也是试探多;
以上是笔者技术剖析的几个观点,作为参考,也是十年以来,每日12小时以上盯盘、复盘所积累的技术经验总结,每天都会公开技术点,配合文字和视频解读,想学习的朋友,结合实际走势可以去对比参考;认可思路的可以参考操作,带好防守,风控第一;不认可的就当飘过就行;感谢大家的支持和关注;
【文章观点仅供参考,投资有风险,入市需谨慎,理性操作,严格设损,控制仓位,风控第一,盈亏自负】
撰稿人:郑氏点银
每日12小时以上看盘研究,坚持长达十年之久,详细技术解读全网公开,以真心、用心、诚心、恒心、全心服务到底!各大财经网站上撰稿评论!精通K线法则、通道法则、时间法则、均线法则、分割法则、顶底法则;学员合作报名热线——微信:zdf289984986























































