郑氏点银,贵金属分析师,从业10年,专业从事贵金属投资指导,熟知金融行业的风险和利润管理,擅长短线操作,中长线辅助,自身研究dkx与macd结合法,均线指标分析法,尤其对图解画线特别擅长,熟悉各种k线形态意义及实战运用。为人对客户负责,服务永第一,喊单稳,心态好。微信:zdf289984986
郑氏点银:黄金短暂回调酝酿再拉升,原油105.5上低多 回顾昨日行情走势及出现的技术点: 第一,黄金方面,昨日早间开盘直接依托1971大幅度拉升至1988,收盘站上1980上周承压的阻力点,那么回踩1980逢低就是跟多机会,防止错失,先给出1984直接多试探,欧盘顺利延续上涨,且小时线是连阳破高走法,
郑氏点银 郑氏点银 2022-04-19 16:48 251
郑氏点银 郑氏点银 2022-04-19 16:48 224
郑氏点银:黄金本周将冲击2000上,原油展开连阳逼空 回顾上周四行情走势及出现的技术点: 第一,黄金方面,上周四凌晨支撑1972上,对于一周以来,随着震荡拉升,低点逐步上移,每一次的起涨低点都作为一定买盘支撑或者说是做多防守;因此,上周四以1970作为防守,回踩依旧继续多为主,但日内欧盘
郑氏点银 郑氏点银 2022-04-18 12:06 309
郑氏点银:黄金1970上仍继续做多,原油103下支撑试探 回顾昨日行情走势及出现的技术点: 第一,黄金方面,隔夜拉升一波,凌晨后回测修正,支撑于1964上逢低,日线连阳保持,那么第二日要直接去试探多,这是因为:凌晨后的回落已经修正了,加之短期处于一路震荡上攻,同时早盘都容易上涨;因此,给
郑氏点银 郑氏点银 2022-04-14 16:36 290
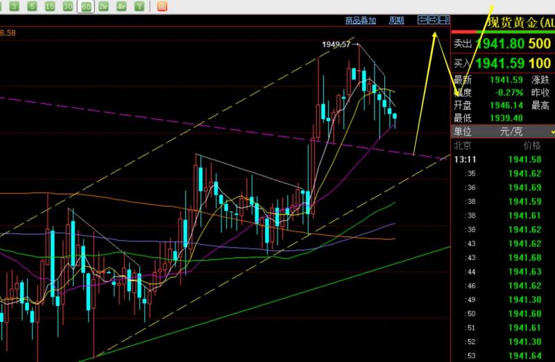
郑氏点银:黄金连阳形态等待加速冲,原油短期转反弹 回顾昨日行情走势及出现的技术点: 第一,黄金方面,周一尾盘依托1941连阳拉升一波至1955,且吞没前一根大阴形态,意味着1950下压制的最后一跌是洗盘诱空假象,因此,昨日早盘依托1950直接布局做多;当亚盘连阳拉升10美金后,力度可以,午
郑氏点银 郑氏点银 2022-04-13 18:23 248
郑氏点银:黄金1950上仍继续看上行,原油等待拐点转上攻 回顾昨日行情走势及出现的技术点: 第一,黄金方面,昨日先依托凌晨低点1938-39上继续看上行,也是回踩通道支撑以及小时线中轨共振点,最终欧盘如期上涨,到位1965及上方目标,大幅抓住20多美金;由于欧盘上涨过猛,美盘基本还要二
郑氏点银 郑氏点银 2022-04-12 13:51 271
郑氏点银:黄金1938延续看上行,原油底部弱势整理 回顾上周五行情走势及出现的技术点: 第一,黄金方面,隔夜探底拉升,凌晨支撑于1929上,第二日早盘先回测,则午后或欧盘前后要择机跟多一次,参考点首选凌晨横盘位置,以隔晚起涨点1922作为防守,继续看震荡上行;而整个欧盘波幅狭小,
郑氏点银 郑氏点银 2022-04-11 13:31 479
郑氏点银:黄金1923上震荡仍看上行,原油93.5双底支撑 回顾昨日行情走势及出现的技术点: 第一,黄金方面,昨日支撑1920迎来一波上冲,再次测试了1938一线,周二布局的1920逢低波段多,也开始有所减持,可惜的是尾盘仍暂时未站上1940发力,价格则继续维持区间性窄幅整理为主;对于昨日走势,
郑氏点银 郑氏点银 2022-04-08 16:11 272
郑氏点银:美联储二把手放鹰,金银油下挫打压 回顾昨日行情走势及出现的技术点: 第一,黄金方面,本周一隔夜支撑1915拉升至1937,则借助凌晨后回踩1930逢低继续布局多单;周二日内亚欧盘展开窄幅区间整理,1933-1925之间走了几个来回,盘中两次给出1925加仓做多,最终拉升至1935、1940上方全数收
郑氏点银 郑氏点银 2022-04-06 16:50 262
郑氏点银:黄金震荡延续看涨,原油展开逼空拉升 回顾昨日行情走势及出现的技术点: 第一,黄金方面,上周五隔夜震荡一路下跌,处于弱势,昨日早盘先反弹,则依托凌晨阻力1926下直接要布空一次,成功压制跌至1916一线获利;而小时线连阴下行,破位隔夜低点,午后反弹依托顶底位置以及618分割阻力19
郑氏点银 郑氏点银 2022-04-05 15:22 243
郑氏点银:金银本周震荡反攻上行,原油98支撑稳固 回顾上周五非农行情及出现的技术点: 第一,黄金方面,上周四隔夜收盘前压制1950走跌一波至1932逢低,力度偏大,且重新失守通道趋势支撑,当11点收报大阴包阳形态后,反弹1936下给出短空,而12点收线期间,一直无法下滑,连大阴低点都无
郑氏点银 郑氏点银 2022-04-04 17:22 300
郑氏点银:黄金仍存在回补长下影需求,原油弱势承压 黄金方面,昨日并未符合文章预判,去回补周二日线长下影再拉升,尽管亚盘下跌,欧盘冲高回落,日内处于压制,但美盘市场选择震荡一路上扬,且刺破了1945关键承压阻力点,触及1949.5一线后收盘前跳水,当前回归于1930逢低一线;日线收报一根上下影线一致的
郑氏点银 郑氏点银 2022-04-01 17:25 286
郑氏点银:黄金1906上存在买盘,原油98上看震荡 回顾昨日行情走势及出现的技术点: 第一,黄金方面,周二隔夜支撑1890一线探底拉升,且V走法,力度偏大,因为周三早盘存在延续上涨动能,而开盘就延续慢涨逼空上行,就不能等太多回测,依托小时线10均线1922直接跟多,欧盘虽有所回测,但坚守关键中
郑氏点银 郑氏点银 2022-03-31 15:35 252
郑氏点银:黄金探底拉升仍震荡,原油同样宽幅震荡 回顾昨日行情走势及出现的技术点: 第一,黄金方面,周一隔夜凌晨后下跌一波破底,周二早盘先反弹,则需先空;按照震荡618法则,先选择1931去埋伏空,而午后触及1928多次承压未上行,也即是50分割就受压,这就表明震荡逐步转弱的迹象,当
郑氏点银 郑氏点银 2022-03-30 15:30 249
郑氏点银:黄金1900上谨防买盘拉升,原油102支撑 回顾昨日行情走势及出现的技术点: 第一,黄金方面,上周五隔夜收盘前,探底拉升一波,收盘于相对高位,因此昨日早间依托回踩618分割支撑1949一线逢低跟多,看震荡氏偏强拉升延续,但早盘直接大幅跳水,直接破位1941趋势支撑以及隔夜低点,弱
郑氏点银 郑氏点银 2022-03-29 17:49 294
扫一扫,关注公众号
扫一扫,下载亚汇通
欢迎咨询广告投放